




Dear Michael Syme,
We have received your complaint. But you must know that Bitmatic is a scam broker https://www.brokersview.com/brokers/bitmatic.
What is your account number at Bitmatic? How many dollars is the balance?
Could you please provide some proofs to support your complaint? If you have any proofs related to this broker, you can provide it to us. We will convey to Bitmatic. If any response, we will immediately inform you.
We are looking forward to hearing from you.
Best regards
BrokersView Team
service@brokersview.com
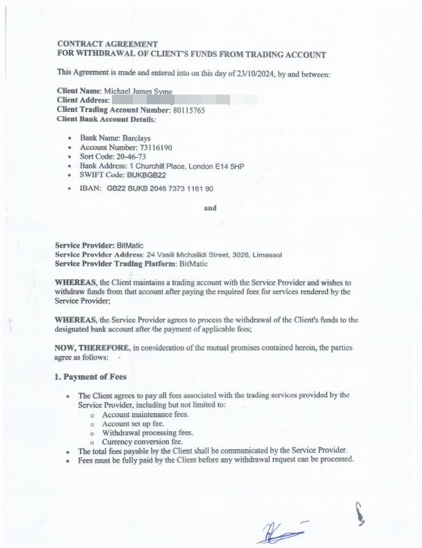
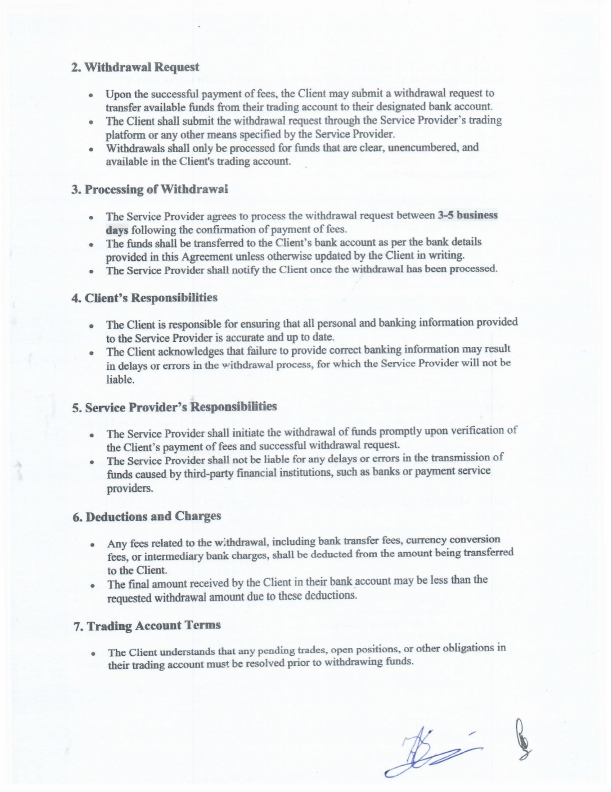
I asked to close my account with this broker & have the credit balance in my account credited to my bank account as I was unhappy with the broker support & had become suspicious having read reviews about the company. I signed a contract with van Cato (email address Adam.c@maticbit.com) which was countersigned by him giving an address in Limassol, Cyprus. In the terms of this contract I was required to pay a withdrawal fee for the privilege of withdrawing my funds - which would then be credited to my account within 5 working days of receipt of that withdrawal fee. That fee was paid on 25th October but no funds have yet been credited to my account.
There is now no response to emails to the broker & the contact /messaging details provided on the trading platform do not work. The same is true of the contact telephone
number provided on the platform & the Uk address appears to be false.
Related Complaints
Pocket option is a scam broker
【Resolved】7 Weeks and Still No Withdrawal – Trade Nation Refuses to Pay
TenX Prime PAMM account missing with money
Skyline Trading Blocking Withdrawal – Pressuring Me to Trade Instead - Skyline Trading is a Scam.
Deposit amount not added in trading balance
The broker Just2Trade has not withdrawn money for almost 2 months
Comments